Sintec新特 激光扩束镜、可调扩束镜、CO2扩束镜
相关产品
Sintec新特 激光扩束镜、可调扩束镜、CO2扩束镜
统的扩束镜是两个单个透镜(聚焦镜)组成,为了最小化相差和达到衍射极限功能,有利于准直,我们用自由间隔的两透镜系统,经过扩束后光束发散角可以容易的调整。
扩束镜是能够改变激光光束直径和发散角的透镜组件。从激光器发出的激光束具有一定的发散角,对于激光加工来说,只有通过扩束镜的调节使激光光束变为准直(平行)光束,才能利用聚焦镜获得细小的高功率密度光斑;在激光测距中,必须通过扩束镜最大限度地改善激光的准直度才能得到理想的远距离测量效果;通过扩束镜能改变光束直径以便用于不同的光学仪器设备;扩束镜配合空间滤光片使用则可以使非对称光束分布变为对称分布,并使光能量分布更加均匀。


最通用的扩束镜起源于伽利略望远镜,通常包括一个输入负透镜和一个输出正透镜。输入镜将一个虚焦点光束传送给输出镜,两个透镜是虚共焦结构。一般小于20倍的扩束镜都用该原理制造,因为它简单、体积小、价格也低。尽可能的该扩束镜设计成小的球面相差、低的波前变形和消色差。它的局限性在于不能容纳空间滤波或者进行大倍率的扩束。
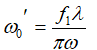
如右图所示,输入镜将入射的激光束聚焦在前焦平面上(虚焦点),新的束腰w¢0 和发散角q¢为 (1)和
(1)和 (2)
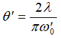
 (2) (3)式中w(l)为入射激光束在入射镜上光束半径,l 是入射激光束腰与入射镜的距离,f1是输入镜的焦距。因为 w0¢ 落在输出镜的后焦平面上,并且输出镜的焦距f2大于输入镜的焦距,高斯光束将被扩束镜准直。准直倍率如下:
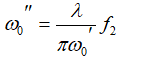
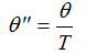
(3)式中w(l)为入射激光束在入射镜上光束半径,l 是入射激光束腰与入射镜的距离,f1是输入镜的焦距。因为 w0¢ 落在输出镜的后焦平面上,并且输出镜的焦距f2大于输入镜的焦距,高斯光束将被扩束镜准直。准直倍率如下: (4)式中T1 = f2/f1,q和 w0 是入射光束的发散角和束腰。经过扩束镜后,束腰 w²0 和发散角 q² 为
(4)式中T1 = f2/f1,q和 w0 是入射光束的发散角和束腰。经过扩束镜后,束腰 w²0 和发散角 q² 为 (5)
(5) 和(6)将(1)式代入(5)得到
和(6)将(1)式代入(5)得到 (7)从(4)至(7)式可以看出,扩束倍数和准直倍率不仅与扩束镜的参数有关,还与激光束参数和扩束镜透镜的位置有关。扩束镜的功能是降低激光束的发散角,进而使激光器聚焦光斑更小。
(7)从(4)至(7)式可以看出,扩束倍数和准直倍率不仅与扩束镜的参数有关,还与激光束参数和扩束镜透镜的位置有关。扩束镜的功能是降低激光束的发散角,进而使激光器聚焦光斑更小。
我公司生产和销售的扩束镜按激光波长分类主要有三种: CO2 激光扩束镜 (10.6mm)、YAG和光纤激光扩束镜 (1064nm、532和355nm) 和其它激光扩束准直镜(633nm等)。按扩束镜结构形式来分,主要有固定扩束镜、手动微调扩束镜、可变倍数扩束镜等。根据客户需要,也可以订制各种扩束镜。
- 
光学材料:光学玻璃、石英或硒化锌 
- 
直径误差:< -0.1mm 
- 
厚度误差:±0.1mm 
- 
平整度:/4 
- 
表面质量:60-40 scratch-dig 
- 
镀膜:R > 99% 
在下面文件中,主要使用如下缩写:
- 
WL=Wavelength波长; 
- 
MAG=Magnification扩束倍数; 
- 
CA=Clear aperture通光口径; 
- 
CA1=入射通光口径; 
- 
CA2=出射通光口径; 
- 
D1=入射端扩束镜直径; 
- 
D2=出射端扩束镜直径; 
- 
L1=扩束镜总长度; 
- 
MT=Mounting链接螺纹; 
- 
D=扩束镜直径。 
手机/微信:13242449659电话:0755-89355351 QQ:842471885 邮箱:842471885@qq.com
 
         
                             
                             
                             
                             
                             
                             
                             
                             
                             
                     
                     
                     
                     
                     
                    